Dato for udgivelse
19 dec 2007 13:45
Dato for afsagt dom/kendelse/afgørelse/styresignal
18 dec 2007 09:44
SKM-nummer
SKM2007.922.SR
Myndighed
Skatterådet
Sagsnummer
07-158063
Dokument type
Bindende svar
Overordnede emner
Skat
Overemner-emner
Aktier og andre værdipapirer samt immaterielle rettigheder
Emneord
aktieombytning, fusion, udbyttebegrænsning, tilbagesalg af anparter
Resumé

Skatterådet kan bekræfte, at der kan foretages en skattefri anpartsombytning uden tilladelse efter ABL § 36A med 55 % af anparterne i A ApS.

Skatterådet kan bekræfte, at der umiddelbart efter anpartsombytningen kan foretages en skattefri fusion af selskaberne A ApS og B ApS.

Skatterådet kan bekræfte, at udlodningskravet i ABL § 36A og FUS § 8 bliver overført til det fortsættende selskab efter fusionen.

Skatterådet kan ikke bekræfte, at der efter fusionen kan foretages køb/salg mellem ejerne af selskaberne(to holdingselskaber) således, at ejerforholdet er 50/50.
Hjemmel
LBKG 2007-10-31, nr. 1274
Reference(r)
Aktieavancebeskatningsloven § 36 A
Henvisning

Ligningsvejledningen S.D.7.2.

Henvisning

Ligningsvejledningen 2008-1 S.D.7.5.

Spørgsmål
  1. Kan der foretages en skattefri anpartsombytning uden tilladelse efter ABL § 36A med 55 % af anparterne i A ApS?
  2. Kan der umiddelbart efter anpartsombytningen fortages en skattefri fusion af selskaberne A ApS og B ApS?
  3. Vil udlodningskravet i ABL § 36A og FUS § 8 blive overført til det fortsættende selskab efter fusionen?
  4. Kan der efter fusionen foretages køb/salg mellem ejerne af selskaberne (to holdingselskaber) således, at ejerforholdet er 50/50?

 

Svar
  1. Besvares med et "ja" se dog indstilling og begrundelse for spørgsmål 4.
  2. Besvares med et "ja".
  3. Besvares med et "ja".
  4. Besvares med et "nej".

Beskrivelse af de faktiske forhold

C ejer i dag personligt 50 % af selskabet A ApS.

D ejer i dag 100 % af anparterne i et holdingselskab E ApS, der ejer 100 % af selskabet B ApS og 50 % af selskabet A ApS.

Selskaberne inden omstruktureringerne:

Visning af billede: Image3

A ApS blev stiftet den 15/1 2001. E ApS blev stiftet den 15/9 2000 og E ApS blev stiftet den 1/1 2000.

D ønsker at overdrage 50 % af anparterne i B ApS til C i forbindelse med det løbende generationsskifte.                                  

Slutresultatet af det første led i generationsskiftet ønskes således, at D og C via deres respektive holdingselskaber, ejer 50 % hver af det fusionerende driftsselskab.

For at opnå den struktur er det nødvendigt, at C etablerer et holdingselskab. I den forbindelse erhverver han 5 % af anparterne i A ApS for at opnå majoriteten af anparterne og efterfølgende foretages en skattefri anpartsombytning til et nystiftet holdingselskab.

Selskaber efter overdragelse af 5 % af anpartskapitalen i A ApS:

Visning af billede: Image4

Selskaberne efter fusionen af de to driftsselskaber:

Visning af billede: Image9

De to driftsselskaber A ApS og B ApS ønskes fusioneret af flere årsager. Den primære årsag er, at selskaberne vil kunne opnå en synergieffekt ved at være et samlet selskab, da produkterne "lapper over" og supplerer hinanden godt. B ApS leverer låsesystemer og adgangskontrol. A ApS leverer alarmovervågning, anden elektronisk overvågning samt elektronisk adgangskontrol.

På sigt skal C sandsynligvis overtage hele virksomheden og dermed som udgangspunkt være eneejer, ønsker han at der kun er et driftsselskab. Virksomheden vil endvidere som et samlet selskab stå stærkere overfor konkurrenter og især ved licitationer, da den samlede omsætning og egenkapital vil være betydelig større, hvilket er et væsentligt parameter ved tilbudsgivning overfor større kunder.

Efter den skattefri fusion vil der ske en udligning af ejerskabet holdingselskaberne imellem således, at ejerskabet af det fælles driftsselskab ender på 50/50. Udligningen vil blive foretaget ved køb/salg af anparter.

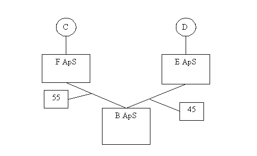
Selskaberne efter tilbagesalg af de købte anparter i A ApS:

Visning af billede: Image8

Begge driftsselskaber har en positiv udvikling og egenkapitalen pr. 1/1 2007 for A ApS udgør kr. 388.965 og for B ApS udgør den kr. 232.343.

Spørgers eventuelle opfattelse ifølge anmodning og bemærkninger til sagsfremstilling

Den planlagte disposition i forbindelse med omstruktureringen er ikke foretaget, men forventes iværksat pr. 1. januar 2008.

Der vil ikke blive foretaget udlodninger i forbindelse med anpartsombytningen eller fusionen. Dispositionerne foretages udelukkende som led i det løbende generationsskifte og ønsket om at samle driftsselskabernes aktiviteter i et driftsselskab.

Formålet med forespørgslen er, at dispositionerne ikke får utilsigtet virkning ved en efterfølgende underkendelse af den skattefri anpartsombytning og efterfølgende skattefri fusion.

Spørgsmål 1

Vi mener, at der skal svares ja, da selskabet opfylder betingelserne i aktieavancebeskatningsloven §§ 36 og 36A. Det skal hertil bemærkes, at der efterfølgende ikke sker tilbagesalg af anparterne fra C til B ApS.

Spørgsmål 2

Vi mener, at der skal svares ja, da selskaberne opfylder betingelserne i Fusionsskatteloven og der kræves ikke tilladelse fra SKAT til at foretage skattefri fusion.

Spørgsmål 3

Udlodningskravet i aktieavancebeskatningsloven § 36 A begrænser udlodningen i 3 år efter aktieombytningen til maksimalt at kunne udgøre årets ordinære resultat. Det fremgår ikke af § 36 A stk. 7 at udlodningsbegrænsningen overføres ved en efterfølgende fusion og hvor B ApS er det fortsættende selskab, dvs. selskabet A ApS opløses i forbindelse med fusionen. Vi mener derfor der skal svares nej til spørgsmålet.

Spørgsmål 4

Vi mener der skal svares ja, da det udelukkende er forretningsmæssigt begrundet at der foretages køb/salg mellem ejerne efter fusionen således at der opnås et ejerskab på 50/50. D ønsker et glidende generationsskifte og i den forbindelse have 50 % af ejerskabet og indflydelsen i det samlede driftsselskab i en årrække inden en endelig udtræden og overdragelse.

C ønsker tillige at besidde 50 % af anparterne da han i gennem en årrække har været medvirkende til opbygning af aktiviteterne.

SKATs indstilling og begrundelse

Ad spørgsmål 1

I følge aktieavancebeskatningsloven § 36, stk. 2 er en aktieombytning en transaktion, hvor et selskab erhverver en andel i et andet selskabs aktiekapital med den virkning, at det første selskab opnår flertallet af stemmerne i det andet selskab.

I forhold til den spurgte disposition er der tale om, at C erhverver yderligere 5 % af anparterne i A ApS. Efter erhvervelsen af anparterne har C 55 % af anparterne i A ApS. Idet C på tidspunktet for anpartsombytningen har 55 % vil det erhvervende selskab således også have 55 % af anpartskapitalen i det erhvervede selskab.

Det følger af aktieavancebeskatningsloven § 36 A, at for at kunne foretage en aktieombytning uden tilladelse, skal både det erhvervende og det erhvervede selskab være omfattet af begrebet selskab i en medlemsstat efter direktiv 90/434/EØF eller være selskaber, som svarer til aktie- eller anpartsselskaber, men som er hjemmehørende i lande uden for EU.

Den danske selskabsform anpartsselskab er omfattet af direktiv 90/434/EØF.

Det er således muligt at foretage en aktieombytning efter aktieavancebeskatningsloven § 36 A, når de to nævnte krav er opfyldt.

Det er udover de to nævnte krav yderligere en betingelse, for at omstrukturere uden tilladelse, at reglerne i aktieavancebeskatningsloven § 36 A benyttes ved indkomstopgørelsen.

SKAT indstiller på den baggrund, at spørgsmål 1 besvares med "ja". Se dog indstilling og begrundelse til spørgsmål 4.

Ad spørgsmål 2

Ved vedtagelsen af L110 blev fusionsskatteloven §§ 3 og 4 ophævet. Det er således i dag kun muligt at foretage en fusion uden tilladelse.

Aktieavancebeskatningsloven indeholder ingen regler om, at der ikke umiddelbart efter en anpartsombytning kan foretages en fusion.

SKAT indstiller på den baggrund, at spørgsmål 2 besvares med "ja".

Ad spørgsmål 3

Det følger af aktieavancebeskatningsloven § 36 A, stk. 7, at når der foretages en aktieombytning uden tilladelse bliver den andel som det erhvervende selskab ejer i det erhvervede selskab pålagt en udbyttebegrænsning.

Af de almindelige bemærkningerne til L110 fremgår det blandt andet, at "..foreslås det at indføre nogle værnsregler (SKATs kursivering), som skal forhindre, at en skattefri omstrukturering, der er gennemført uden tilladelse, reelt bliver benyttet til at afstå aktier eller aktiver skattefrit og dermed til at omgå avancebeskatning."

Ligeledes fremgår det af de almindelige bemærkninger, at "Der foreslås også regler, som skal forhindre, at man inden for en periode på tre år efter en skattefri omstrukturering tømmer det modtagende selskab for værdier uden beskatning. Det kan f.eks. ske ved at udlodde store udbytter, der efter omstændigheder kan være skattefrie for modtageren. En sådan udlodning kan samtidig reducere værdien af aktierne i det modtagende selskab, således at disse kan sælges uden nogen nævneværdig skattepligtig avance.

Derfor foreslås det, at skattefriheden for omstruktureringen fortabes, hvis der udloddes for store udbytter fra det modtagende selskab, hvis der foretages kapitalnedsættelse i det modtagende selskab med efterfølgende udlodning, eller hvis det modtagende selskab yder for store tilskud til koncernforbundne selskaber."

Ligeledes fremgår det af bemærkningerne til aktieavancebeskatningsloven § 36 A, stk. 7, at "Bestemmelsen skal forhindre, at man omgår aktieavancebeskatningsloven ved at tømme det erhvervede selskab for værdier bl.a. via udlodning af skattefrit udbytte til det erhvervende selskab.

Det foreslås, at skattefriheden fortabes, hvis det erhvervende selskab over en treårig periode, der løber fra ombytningstidspunktet, modtager skattefrit udbytte af sine aktier i det erhvervede selskab, som overstiger det erhvervende selskabs andel af det erhvervede selskabs regnskabsmæssige resultat for det indkomstår, hvor ombytningen gennemføres, og de to følgende indkomstår.

Det betyder med andre ord, at det erhvervende selskab i en treårig periode, der løber fra ombytningstidspunktet, kan modtage skattefrit udbytte af sine aktier i det erhvervede selskab, der svarer til det erhvervende selskabs andel af det regnskabsmæssige resultat for det indkomstår, hvor ombytningen gennemføres, og de to efterfølgende år indkomstår.."

Det fremgår desuden af bemærkningerne til ændringsforslag til 2. behandling af L121 vedrørende aktieavancebeskatningsloven § 36 A, stk. 7, at "..Hensigten med bestemmelsen er at forhindre, at det erhvervede selskab efter gennemførelsen af en skattefri aktieombytning uden tilladelse bliver tømt via udlodning af store skattefrie udbytter til det erhvervende selskab, at en eventuel aktieavance ved salg af aktierne i det erhvervede selskab umiddelbart efter ombytningen bliver elimineret."

Såfremt udbyttebegrænsningen efter aktieavancebeskatningsloven § 36 A, stk. 7 ikke overføres i forbindelse med en efterfølgende skattefri fusion medfører det, at man kan fusionere sig ud af værnsreglen mod at tømme et selskab ved skattefri omstrukturering uden tilladelse for derefter at afstå det uden avancebeskatning.

Således ud fra en formålsfortolkning er det SKATs opfattelse, at det vil stride imod lovens formål, hvis værnsreglen i form af udbyttebegrænsningen ikke fortsætter i det modtagende selskab efter en skattefri fusion.

På den baggrund er det SKATs indstilling, at der svares "ja" til spørgsmål 3.

Spørgsmål 4

Det fremgår af bilag 1 til L110, at "..De objektive betingelser for, om der er tale om en aktieombytning efter de gældende regler, finder tilsvarende anvendelse efter de forslåede regler..".

En af de objektive betingelser for at foretage en aktieombytning er, at aktionæren har eller opnår majoriteten i det erhvervede selskab. I denne sag erhverver C majoriteten inden ombytningen ved at købe 5 % af kapital i A ApS fra E ApS.

Praksis fra omstruktureringssager med tilladelse vedr. aktieombytning går blandt andet på, at det flertal som eksisterer hos aktionæren inden ombytningen også som udgangspunkt skal bevares efter ombytningen. Der kan dog forekomme konkrete afgørelser, hvor salg af flertallet af aktierne efter ombytningen kan lade sig gøre ud fra en forretningsmæssig begrundelse.

Som det fremstår af anmodningen skal købet af de 5 %, de to omstruktureringer og tilbagesalg af anparter ske over en fortrinsvis kort periode. Dette bekræftes også af hensigtserklæringen mellem anpartshaverne, som vedlægges indstillingen.

Af offentliggjorte Ligningsrådssager fremgår det blandt andet af TfS 1997,445 (bilag 2), at "..Ligningsrådet skønnede, at den efterfølgende overdragelse af nom. 1.000 kr. anparter i Holding I ApS fra medanpartshaveren til Holding II ApS alene skulle ske for at gøre ombytningen mulig.

På det grundlag fandt Ligningsrådet, at der ville være tale om en omgåelse af stemmeflertalskravet i aktieavancebeskatningslovens § 13, stk.1-2.

Det gjorde i den forbindelse ingen forskel, at overdragelsen af de nom. 1.000 kr. anparter ville ske uden nogen samtidig overenskomst, der kunne sikre medanpartshaveren en uændret indflydelse i driftsselskabet, eller som kunne give ham ret til at købe de pågældende anparter tilbage på et senere tidspunkt."

Tilsvarende fremgår det af TfS 1997,205 (bilag 3), at "På baggrund af, at de to anpartshavere hidtil havde været ligestillet, skønnede Ligningsrådet, at det kun var med henblik på at opnå virkningen af at benytte ombytningsreglerne, at der skulle skabes majoritet for en af anpartshaverne..".

Ud fra praksis er det således gældende, at aktieoverdragelse med henblik på at omgå de objektive kriterier i aktieavancebeskatningsloven § 36 A, stk. 7 medfører, at transaktionen ikke opfylder aktieavancebeskatningslovens objektive betingelser.

I nærværende sag er det utvivlsomt planlagt på forhånd at omgå de objektive betingelser, da der i denne sag er udfærdiget en hensigtserklæring, som udtrykker, at anpartshaverne har intention om at foretage et tilbagekøb (bilag 1). Hensigtserklæringen betyder, at C har til hensigt at overdrage de 5 % anparter til E ApS, hvilket ifølge Ligningsrådet i TfS 1997,445 jo kun tydeliggør, at der er tale om en omgåelse af majoritetskravet.

Det kan derudover bemærkes, at de to aktionærer kunne have ladet A ApS og B ApS fusionere uden der blev foretaget en anpartsombytning og således have opnået synergieffekterne samt at have stået stærkere ved licitationer og overfor konkurrenter. Det ville desuden også have opfyldt Cs ønske om, at der kun var et driftsselskab.

I forlængelse af ovenstående kan praksis for behandling af skattesalg fremhæves. Såfremt der handles aktier for udelukkende at realisere en avance/tab kan en sådan transaktion skattemæssigt anses for virkningsløs. Af Ligningsvejledningen S.G.2.3.2 fremgår det heraf, at "Finder salget og genkøbet sted samme dag, vil salget typisk ikke kunne tillægges skattemæssig virkning."

Tilbagesalget af de 5 % til E ApS hænger desuden ikke sammen med rådgivers udtalelse om, at omstruktureringerne sker som et løbende generationsskifte, da tilbagesalget jo skaber samme ejerstruktur som inden omstruktureringerne.

Det er SKATs opfattelse, at det af praksis og teori fremgår, at det vil være en omgåelse af det objektive majoritetskravet, at der sker tilbagesalg til E ApS.

På den baggrund er det SKATs indstilling, at der svares "nej" til spørgsmål 4.

Skatterådets afgørelse og begrundelse

Skatterådet tiltræder SKATs indstilling.

Svaret er bindende for skattemyndighederne i følgende periode

Ifølge skatteforvaltningslovens § 25, stk. 1, er svaret bindende for skattemyndighederne i forhold til spørger ved behandlingen af det beskrevne forhold i 5 år.  

Ifølge skatteforvaltningslovens § 25, stk. 2, er svaret dog ikke bindende, i det omfang der er sket ændringer i forudsætninger, som har været afgørende for indholdet af svaret, herunder ændringer i love eller bekendtgørelser, der har ligget til grund for svaret.