Indhold
Dette afsnit handler om, hvad der forstås ved koncernforbundne juridiske personer.
Afsnittet indeholder:
- Hvad er koncernforbundne juridiske personer?
- Eksempler.
Hvad er koncernforbundne juridiske personer?
Skattepligtige, som er koncernforbundet med en juridisk person, er omfattet af armslængdeprincippet i LL § 2. Med koncernforbundne juridiske personer forstås juridiske personer, hvor samme kreds af aktionærer har bestemmende indflydelse, eller hvor der er fælles ledelse. Se LL § 2, stk. 3.
Både transparente selskaber og fx aktieselskaber er koncernforbundne, hvis de administreres af den samme ledelse, eller hvis der er væsentlige personsammenfald i de to selskabers ledelse.
Som eksempel på dette kan det nævnes, at bestemmelsen om fælles ledelse anvendes, når administratoren (fx komplementaren i et kommanditselskab eller et management selskab) er den samme i flere kapitalfonde, eller når der er tale om forskellige administratorer, men disse administratorer er koncernforbundne/nærtstående.
Se LL § 2, stk. 1, nr. 3.
Eksempler
Eksempel 1 - 5 viser forskellige situationer, hvor direkte og indirekte ejede juridiske personer er koncernforbundne på grund af koncernrelationer og/eller bestemmende indflydelse.
Eksempel 1
Dette eksempel viser, at direkte og indirekte ejede selskaber (moder/datterforbindelser) er koncernforbundne.

Et selskab D1 er underlagt direkte bestemmende indflydelse og et andet dansk selskab D2 indirekte bestemmende indflydelse fra selskab M. Dette medfører, at D1 og D2 er koncernforbundne med hinanden og med M.
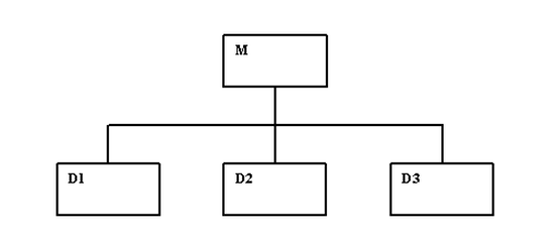
Eksempel 2
Dette eksempel viser, at søsterselskaber er koncernforbundne.

Et moderselskab M med tre datterselskaber D1, D2 og D3. De tre datterselskaber er koncernforbundne. Desuden er datterselskaberne og M koncernforbundne på grund af bestemmende indflydelse.
Eksempel 3
Dette eksempel viser, at selskaber, der ejes af nærtstående er koncernforbundne. Se LL § 16 H, stk. 6, om hvem der er nærtstående.

En person P1 har et selskab D1, og hans søn P2 har et selskab D2. D1 er koncernforbundet med D2 og transaktioner mellem D1 og D2 er derfor omfattet af armslængdeprincippet i LL § 2. Det skyldes, at nærtstående skal betragtes som en og samme person i relation til koncernforbundne parter. Transaktioner mellem personerne (P1 og P2) og deres selskaber (D1 og D2) er også omfattet af armslængdeprincippet i LL § 2 på grund af reglen om bestemmende indflydelse.
Eksempel 4
Dette eksempel viser, at selskaber med samme kreds af aktionærer er koncernforbundne.

Tre personer (eller selskaber) P1, P2 og P3, har et I/S, som de hver kontrollerer en tredjedel af. I/S'et ejer to selskaber D1 og D2. Da ingen af personerne har bestemmende indflydelse, og da et I/S ikke er skattepligtigt i LL § 2's forstand, er der ingen bestemmende indflydelse vertikalt i koncernen. D1 og D2 er koncernforbundne, idet D1 og D2 kontrolleres af samme kreds af aktionærer, nemlig de tre interessenter P1, P2 og P3.
Det bemærkes, at deltagerne i I/S'et kan have lavet en aftale om bestemmende indflydelse. Se afsnit C.D.11.1.2.2 om fælles bestemmende indflydelse ifølge aftale.
Eksempel 5
Dette eksempel viser, at der er koncernforbindelse, selvom der ikke er en direkte ejerforbindelse mellem et selskab og en fond stiftet af selskabet.

Et selskab M har stiftet en fond F, og denne fond kontrollerer et selskab D. Selskabet M ejer 10 pct. af D, mens F ejer de resterende 90 pct. D og M er koncernforbundne, da M skal medregne fondens ejerandel og dermed har bestemmende indflydelse over D. F og M er derimod ikke koncernforbundne, da en fond ikke kan være under bestemmende indflydelse.
Se også
Se også afsnit C.D.11.1.2.2 der handler om aktier og stemmerettigheder, der ejes af andre.